0%
0 / 2
14 ноября 2024 года

Чек-лист обучающегося 8 класса для самоподготовки к тесту по предмету "Алгебра" (базовый уровень)    

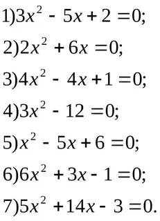
Уважаемые обучающиеся 8 класса, завершаем изучение темы "Способы решения квадратных уравнений".

Цель урока: обощить умения и навыки применения способов решения квадратных уравнений.


0%
0 / 2

Для повышения уровня качества знаний рекомендую отработать тему "Квадратные уравнения" в ЦОК ЯКласс: https://www.yaklass.ru/p/algebra/8-klass/kvadratnye-uravneniia-11021/sposoby-resheniia-kvadratnykh-uravnenii-9115?YklShowAll=1


Автор: скрыт

Копировать чек-лист

* при скачивании в PDF - можно добавить комментарий, который отобразится внутри файла. Так же будет указана дата и время заполнения скачанного чек-листа


Смотрите другие чек-листы в категории "Обучение и Преподавание"



Чек-лист | ЭкспертЧек-лист | Эксперт - создайте чек-лист онлайн, бесплатно!

Создано с помощью сервиса "Чек-лист | Эксперт"